Reasoning MCQ Questions in Hindi | Part-1

रीजनिंग एक ऐसा महत्वपूर्ण विषय है जो हर प्रतियोगी परीक्षाओं के सिलेबस में शामिल होता है। इसलिए, हमने इस ब्लॉग के माध्यम से रीजनिंग से संबंधित प्रश्नों को हल करने का प्रयास किया है ताकि आप अपनी प्रतिस्पर्धा की तैयारी को और बेहतर बना सकें। इस ब्लॉग “Reasoning MCQ Questions in Hindi-Part 1” में लोजिक, सिलोजिज्म, और न्यूमेरिकल रीजनिंग के विभिन्न पहलुओं पर विस्तार से चर्चा की जाएगी। हमारा उद्देश्य है कि आप इन प्रश्नों को सही ढंग से समझकर अपनी परीक्षा की तैयारी को बेहतर बना सकें। यह ब्लॉग आपकी रीजनिंग की तैयारी को मजबूत बनाने और परीक्षा में प्रदर्शन क्षमता को बढ़ाने में सहायक होगा।

Reasoning MCQ Questions in Hindi | Part-1

Q1. यदि किसी सांकेतिक भाषा में VICTORY को ZMGXSVC लिखा जाता है, तो इसी भाषा में SUCCESS को कैसे लिखा जाएगा ?
  • (a) VYGGIWW
  • (b) VYEEHVV
  • (c) WYGGIWW
  • (d) WYGGIWV

Correct Answer: (c) WYGGIWW

Solution:

Code प्राप्त करने के लिए शब्द का हर alphabet चार पद आगे स्थानांतरित हुआ है।

इसलिए, SUCCESS को WYGGIWW लिखा जायेगा।

Q2. अमित ने कहा – “यह लड़की मेरी माँ के पोते की पत्नी है”। अमित लड़की से कैसे संबंधित है?
  • (a) दादा
  • (b) पति
  • (c) ससुर
  • (d) भाई

Correct Answer: (c) ससुर

Solution:

यह लड़की मेरी माँ – अर्थात अमित की माँ

मेरी माँ के पोते – अर्थात अमित का बेटा

बेटेकी पत्नी – अर्थात अमित की पुत्रवधू।

यदि वह लड़की अमित की पुत्रवधू है, तो अमित उस लड़की का ससुर होगा।

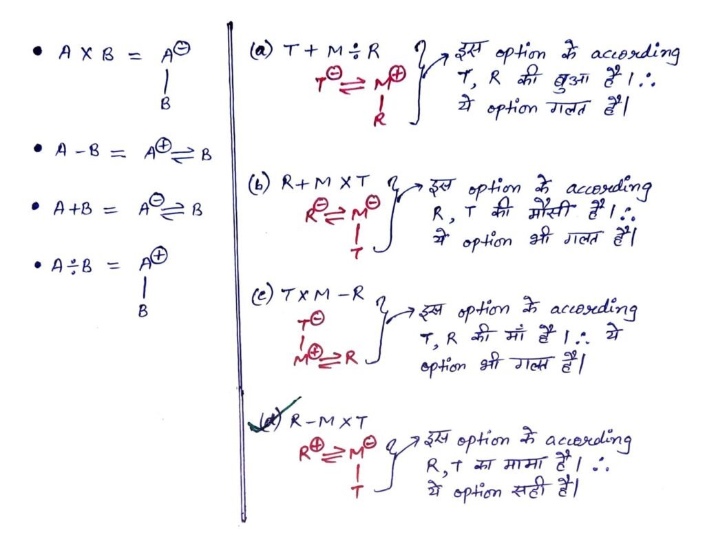
Q3. ‘A × B’ का अर्थ है ‘A, B की माँ है’। ‘A – B’ का अर्थ है ‘A, B का भाई है’। ‘A + B’ का अर्थ है ‘A, B की बहन है’। ‘A ÷ B’ का अर्थ है ‘A, B का पिता है’। निम्नलिखित में से किसका अर्थ है ‘R, T का मामा है’?
  • (a) T + M ÷ R
  • (b) R + M × T
  • (c) T × M – R
  • (d) R – M × T

Correct Answer: (d) R – M × T

Solution:

Q4. 8:24 p.m. पर घड़ी की दोनों सुईयों के बीच का कोण कितना होगा?
  • (a) 106°
  • (b) 108°
  • (c) 100°
  • (d) 107°

Correct Answer: (b) 108°

Solution:

8 बजे मिनट की सुई और घंटे की सुई के बीच का कोण 30 × 8 = 240 डिग्री है। यह प्रति मिनट 5.5 घट जाएगा। तो 24 मिनट में, यह 5.5 × 24 = 132 डिग्री घट जाएगा। इसलिए 8: 24 बजे मिनट की सुई और घंटे की सुई के बीच का कोण 240 – 132 = 108 डिग्री है।

Q5. बताएं कि इनमें से कौन-सा एक ऐसा है, जो अन्य से भिन्न है?
  • (a) CDFIM
  • (b) ABDGK
  • (c) BCEHL
  • (d) EFGIK

Correct Answer: (d) EFGIK

Solution:

इस प्रश्न को हल करने के लिए हमें प्रत्येक विकल्प में समूहों की प्रमुखता की तुलना करनी होगी। हमें उन वर्णों को खोजना होगा जो एक ही समूह में हैं और जिनका अन्य विकल्पों के साथ मेल नहीं खाता है।

(a) CDFIM – यहाँ, “C”, “D”, “F”, “I”, और “M” वर्ण दिए गए हैं। इनमें कोई विशेष नियम नहीं है, और यह एक समूह में नहीं है।

(b) ABDGK – इस विकल्प में “A”, “B”, “D”, “G”, और “K” वर्ण हैं। फिर, यह भी कोई विशेष नियम नहीं है, लेकिन यह एक समूह में है।

(c) BCEHL – इसमें “B”, “C”, “E”, “H”, और “L” वर्ण हैं। यह भी एक समूह में है, लेकिन कोई विशेष नियम नहीं है।

(d) EFGIK – यहाँ, “E”, “F”, “G”, “I”, और “K” वर्ण दिए गए हैं। इसमें एक समूह है और यह अन्य सभी समूहों से अलग है।

इस प्रकार, उत्तर (d) EFGIK है, क्योंकि इसमें वे वर्ण हैं जो अन्य समूहों में नहीं हैं।

Q6. यदि ‘नारंगी’ को ‘मक्खन’ कहा जाए, ‘मक्खन’ को ‘साबुन’ कहा जाए, ‘साबुन’ को ‘स्याही’ कहा जाए, ‘स्याही’ को ‘शहद’ कहा जाए और ‘शहद’ को ‘नारंगी’ कहा जाए, तो कपड़े धोने के लिए निम्नलिखित में से क्या उपयोग करेंगे?
  • (a) नारंगी
  • (b) स्याही
  • (c) शहद
  • (d) मक्खन

Correct Answer: (b) स्याही

Solution:

नारंगी → मक्खन → साबुन → स्याही → शहद → नारंगी

हमें पता है कि कपड़े धोने के लिए साबुन का उपयोग किया जाता है। और equation के आधार पर साबुन को स्याही कहा गया है, इसलिए कपड़े धोने के लिए स्याही का उपयोग करेंगे।

Q7. यदि अंग्रेजी वर्णमाला को उलटे क्रम कें लिखा जाए और ‘Y’ से प्रारंभ करते हुए प्रत्येक एकांतर अक्षरों को हटा दिया जाए, तो वर्णमाला के शेष अक्षरों में से ठीक मध्य में कौन-सा अक्षर होगा?
  • (a) M
  • (b) N
  • (c) O
  • (d) M या O

Correct Answer: (b) N

Solution:

अंग्रेजी वर्णमाला को उलटे क्रम में लिखने के बाद, हमें प्रत्येक एकांतर अक्षरों को हटाना है।

अंग्रेजी वर्णमाला को उलटे क्रम में लिखने पर वर्णमाला निम्नलिखित होगी:

Z Y X W V U T S R Q P O N M L K J I H G F E D C B A

अब, हमें ‘Y’ से प्रारंभ करते हुए प्रत्येक एकांतर अक्षरों को हटाना है:

Z X V T R P N L J H F D B

इससे पता चलता है कि ठीक मध्य में अक्षर ‘N’ है। इसलिए, उत्तर (b) N होगा।

Q8. शारदा ने दक्षिण दिशा में चलना शुरू किया, 15 मीटर चलने के बाद वह दो बार अपने बाएँ घूमी और दोनों बार 15-15 मीटर चली, अब वह अपने प्रस्थान स्थल से कितनी दूर है और किस दिशा में है?
  • (a) 20 मीटर पश्चिम
  • (b) 30 मीटर पूर्व
  • (c) 15 मीटर दक्षिण
  • (d) 15 मीटर पूर्व

Correct Answer: (d) 15 मीटर पूर्व

Solution:

शारदा ने दक्षिण दिशा में चलना शुरू किया है, और वह दक्षिण दिशा में 15 मीटर चली और फिर दो बार बाएं मुड़ी और प्रत्येक बार 15-15 मीटर चली। वह नीचे दिए गए चित्र में दिखाए गए पथ पर चली:

इसलिए, अब वह अपने प्रस्थान स्थल से 15 मीटर दूर है और पूर्व दिशा में है।

Q9. यदि 15 फरवरी , 2000 को रविवार था, तो 15 जनवरी, 2013 को कौन-सा दिन होगा?
  • (a) शुक्रवार
  • (b) मंगलवार
  • (c) शनिवार
  • (d) बुधवार

Correct Answer: (b) मंगलवार

Solution:

Q10. SECURITY शब्द में अक्षरों के ऐसे कितने जोड़े हैं जिनमें से प्रत्येक के बीच उतने ही वर्ण हैं जितने अंग्रेजी वर्णानुक्रम में उनके बीच हैं ?
  • (a) पाँच
  • (b) दो
  • (c) तीन
  • (d) एक

Correct Answer: (c) तीन

Solution:

Q11. उस संख्या का चयन करें, जो निम्नलिखित श्रृंखला से संबंधित नहीं है:-
 147, 293, 587, 1173, 2346, 4693
  • (a) 1173
  • (b) 2346
  • (c) 293
  • (d) 4693

Correct Answer: (b) 2346

Solution:

इसलिए, उपरोक्त श्रृंखला में संख्या 2346 की जगह संख्या 2345 होनी चाहिए थी। इसलिए, 2346 श्रृंखला से संबंधित नहीं है।

Q12. इस प्रश्न में तीन कथन दिए गए हैं, जिसके बाद तीन निष्कर्ष I, II और III दिए गए हैं। कथनों को सत्य मानते हुए, भले ही वे सर्वज्ञात तथ्यों से भिन्न प्रतीत होते हों, निर्णय कीजिये कि कौन सा/से निष्कर्ष कथनों का तार्किक रूप से कथनों का अनुसरण करता/करते है।
 कथन:
 सभी भालू खरगोश हैं।
 सभी खरगोश कुत्ते हैं।
 कुछ कुत्ते काले हैं।
 निष्कर्ष:
 I. कुछ खरगोश काले हैं।
 II. कुछ कुत्ते भालू हैं।
 III. सभी भालू कुत्ते हैं।
  • (a) केवल निष्कर्ष II और III अनुसरण करते हैं।
  • (b) केवल निष्कर्ष I और III अनुसरण करते हैं।
  • (c) केवल निष्कर्ष I और II अनुसरण करते हैं।
  • (d) सभी निष्कर्ष अनुसरण करते हैं।

Correct Answer: (a) केवल निष्कर्ष II और III अनुसरण करते हैं।

Solution:

(I). कुछ खरगोश काले हैं। – यह गलत है। क्योंकि ऊपर दिए गए चित्र से पता चल रहा है कि खरगोश और काले में कोई सम्बन्ध नहीं है।

(II). कुछ कुत्ते भालू हैं। – यह सही है। क्योंकि ऊपर दिए गए चित्र से पता चल रहा है कि सभी भालू कुत्ते हैं, इसलिए कुछ कुत्ते भालू हैं।

(III). सभी भालू कुत्ते हैं। – यह सही है। क्योंकि ऊपर दिए गए चित्र में साफ-साफ चल रहा है कि सभी भालू कुत्ते हैं।

इसलिए, केवल निष्कर्ष II और III अनुसरण करते हैं।

Q13. उस विकल्प का चयन करें जो रिक्त स्थान को भरेगा और दी गई श्रृंखला को पूरा करेगा:-
15, 17, 20, 22, 27, 29, ? , ?
  • (a) 31, 38
  • (b) 38, 45
  • (c) 36, 43
  • (d) 36, 38

Correct Answer: (d) 36, 38

Solution:

Q14. एक परिवार में छह सदस्य P, Q, R, S, T और U हैं। दो विवाहित जोड़े हैं। Q एक डॉक्टर है और T का पिता है। U, R का दादा है और एक ठेकेदार है। S, T की दादी है और एक गृहिणी है। परिवार में एक डॉक्टर, एक ठेकेदार, एक नर्स, एक गृहिणी और दो छात्र हैं। निम्नलिखित में से कौन निश्चित रूप से पुरुष सदस्यों का समूह है?
  • (a) QU
  • (b) QUP
  • (c) QUT
  • (d) UT

Correct Answer: (a) QU

Solution:

Q15. एक सुबह दो दोस्त राम और श्याम एक-दूसरे के सामने एक बगीचे में इस प्रकार खड़े थे कि राम की छाया श्याम के बाईं ओर पड़ती है। राम किस दिशा के सम्मुख है?
  • (a) पश्चिम
  • (b) उत्तर
  • (c) दक्षिण
  • (d) पूर्व

Correct Answer: (c) दक्षिण

Solution:

सुबह सूर्य पूर्व दिशा में होता है इसलिए परछाई पश्चिम में पड़ती है, जैसा कि चित्र में दिखाया गया है:-

इसलिए राम दक्षिण दिशा के सम्मुख है।

Q16. दिए गए विकल्पों में शब्दों की 3 जोड़ी सामान रूप से सम्बंधित है, और एक जोड़ी अलग तरह से संबंधित है उस जोड़ी को ज्ञात कें जो अलग तरह से सम्बंधित है?
  • (a) हिम : सफेद
  • (b) पत्ती : हरा
  • (c) नींबू : पीला
  • (d) चीनी : मीठा

Correct Answer: (d) चीनी : मीठा

Solution:

जोड़ी “चीनी : मीठा” अलग तरह से संबंधित है। चीनी एक पदार्थ है, जो मीठाई बनाने में उपयोग किया जाता है, जबकि शेष जोड़ियाँ रंगों को संदर्भित कर रही हैं।

इसलिए, उत्तर है: (d) चीनी : मीठा।

Q17. यह देखते हुए कि A, B की माता है। C, A का पुत्र है। D, E का भाई है। E, B की पुत्री है। तो D की दादी कौन है?
  • (a) D
  • (b) A
  • (c) C
  • (d) B

Correct Answer: (b) A

Solution:

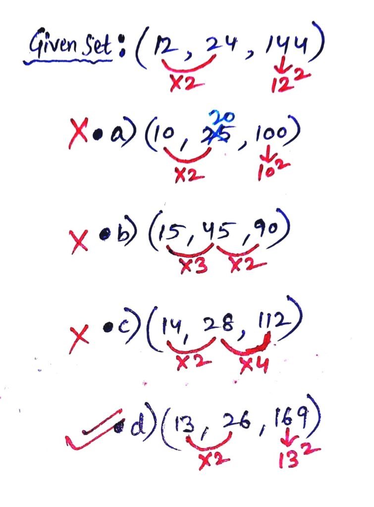
Q18. चार वैकल्पिक सेटों में से संख्याओं का वह सेट चुनें, जो दिए गए सेट के समान हो।
Given set: (12, 24, 144)
  • (a) (10, 25,100)
  • (b) (15, 45, 90)
  • (c) (14, 28, 112)
  • (d) (13, 26, 169)

Correct Answer: (d) (13, 26, 169)

Solution:

Q19. आठ मित्र L, M, P, Q, R, S, T और V केन्द्र की ओर मुंह करके एक वृत्त के गिर्द बैठे हैं। L, M के दाएं को तीसरे स्थान पर बैठा है और L, P के बाएं को दूसरे स्थान पर बैठा है। R व S एक-दूसरे के बाद बैठे हैं और उनमें से कोई भी L का निकटस्थ पड़ोसी नहीं है। Q, T के दाएं को दूसरे स्थान पर बैठा है। V, S के दाएं को दूसरे स्थान पर बैठा है। 

V के बाएं को तीसरे स्थान पर कौन बैठा है? 

  • (a) P
  • (b) R
  • (c) L
  • (d) Q

Correct Answer: (b) R

Solution:

Q20. दी गई श्रंखला को पूरा करने के लिए प्रश्नवाचक चिह्न (?) के स्थान पर कौन सा अक्षर-समूह आएगा?
ERKV, HYVK, ?, NMRO, QTCD
  • (a) KFGZ
  • (b) KXGW
  • (c) KSEV
  • (d) FNQI

Correct Answer: (a) KFGZ

Solution:

आपके साथ हमारे ब्लॉग “Reasoning MCQ Questions in Hindi-Part 1” का समापन करते हुए हम बहुत ही उत्साहित और प्रसन्न महसूस कर रहे हैं। इस ब्लॉग के माध्यम से हमने आपको रीजनिंग संबंधी महत्वपूर्ण प्रश्न प्रस्तुत किए हैं, जो कि आपके प्रतियोगी परीक्षाओं की तैयारी में मदद करेंगे।

इस ब्लॉग के माध्यम से, हमने विभिन्न प्रकार के रीजनिंग प्रश्नों का समाधान प्रस्तुत किया है, जैसे कि लोजिकल, सिलोजिकल, और न्यूमेरिकल रीजनिंग। हमने प्रत्येक प्रश्न को विस्तारपूर्वक समझाया है और उसका सही उत्तर भी प्रदान किया है। इससे आपको रीजनिंग के विभिन्न पहलुओं को समझने और सही उत्तर देने की प्रक्रिया में मदद मिलेगी।

हम जानते हैं कि प्रतियोगी परीक्षाओं में सफलता प्राप्त करने के लिए रीजनिंग का महत्व कितना है। इसलिए, हमने इस ब्लॉग के माध्यम से आपको रीजनिंग के लिए उचित और आवश्यक सामग्री प्रदान की है, ताकि आप अपनी प्रतिस्पर्धा की तैयारी को और अधिक मजबूत कर सकें।

इस ब्लॉग का मुख्य उद्देश्य था कि हम आपको रीजनिंग के प्रश्नों के सही उत्तर प्रदान करें और आपकी समझ में आए कि कैसे आपको प्रश्नों का सही उत्तर निकालना है। हमें आशा है कि हमने आपकी इसी आवश्यकता को पूरा किया है और आपको हमारा ब्लॉग पसंद आया होगा।

आखिरकार, हम चाहते हैं कि आप इस ब्लॉग को पढ़कर अपनी रीजनिंग की क्षमता को सुधारें और अपनी प्रतिस्पर्धा में अधिक प्रभावी हों। हम आपको रीजनिंग के अगले भागों के साथ जुड़कर और अधिक सीखने का मौका देने की कोशिश करेंगे।

धन्यवाद और बने रहें BrainWave Baithak के साथ!

Some Important Links
Important Maths MCQ Questions in Hindi Click Here
Top 25 GK Questions in Hindi Click Here
If you are satisfied with our website brainwavebaithak.online, Please like and share with more people.
Subscribe our YouTube Channel Click Here
Join our Telegram Channel Click Here
For any Query and Feedback, Contact Us at – study@brainwavebaithak.online.
Reasoning MCQ Questions in Hindi

Leave a Comment